Below are the nesa expecations for logarithms. Use the definition of a logarithm to establish and apply the laws of logarithms . Free worksheet(pdf) with answer key on the quotient rule of logarithms includes model problems worked out step by step,many practice problems and challenge . Related pages rules of logarithms · common and natural logarithm · logarithmic functions · math worksheets. Free worksheet(pdf) with answer key on the product rule of logarithms includes model problems worked out step by step,many practice problems and challenge .                                           In this worksheet, we will practice using the laws of logarithms to simplify logarithmic expressions and prove logarithmic statements. This law tells us how to add two logarithms together. The following table gives the logarithm rules. Solve the following logarithmic equations. Free worksheet(pdf) with answer key on the product rule of logarithms includes model problems worked out step by step,many practice problems and challenge . Free worksheet(pdf) with answer key on the quotient rule of logarithms includes model problems worked out step by step,many practice problems and challenge . Related pages rules of logarithms · common and natural logarithm · logarithmic functions · math worksheets. Use the definition of a logarithm to establish and apply the laws of logarithms . Below are the nesa expecations for logarithms. (2) log(3x − 2) = 2. Adding log a and log b results in the logarithm of the product of a and b, that is log ab. Browse logarithmic rules resources on teachers pay teachers, a marketplace trusted by millions of teachers for original educational . Free worksheet(pdf) with answer key on the quotient rule of logarithms includes model problems worked out step by step,many practice problems and challenge . The following table gives the logarithm rules. (2) log(3x − 2) = 2. Below are the nesa expecations for logarithms. Related pages rules of logarithms · common and natural logarithm · logarithmic functions · math worksheets.                                           The following table gives the logarithm rules. Browse logarithmic rules resources on teachers pay teachers, a marketplace trusted by millions of teachers for original educational . Free worksheet(pdf) with answer key on the product rule of logarithms includes model problems worked out step by step,many practice problems and challenge . This law tells us how to add two logarithms together. Use the definition of a logarithm to establish and apply the laws of logarithms . Related pages rules of logarithms · common and natural logarithm · logarithmic functions · math worksheets. Below are the nesa expecations for logarithms. Adding log a and log b results in the logarithm of the product of a and b, that is log ab. In this worksheet, we will practice using the laws of logarithms to simplify logarithmic expressions and prove logarithmic statements. (2) log(3x − 2) = 2. Solve the following logarithmic equations. Free worksheet(pdf) with answer key on the quotient rule of logarithms includes model problems worked out step by step,many practice problems and challenge . Related pages rules of logarithms · common and natural logarithm · logarithmic functions · math worksheets. Free worksheet(pdf) with answer key on the quotient rule of logarithms includes model problems worked out step by step,many practice problems and challenge . Browse logarithmic rules resources on teachers pay teachers, a marketplace trusted by millions of teachers for original educational . This law tells us how to add two logarithms together. Solve the following logarithmic equations.                                           Use the definition of a logarithm to establish and apply the laws of logarithms . Free worksheet(pdf) with answer key on the product rule of logarithms includes model problems worked out step by step,many practice problems and challenge . This law tells us how to add two logarithms together. Browse logarithmic rules resources on teachers pay teachers, a marketplace trusted by millions of teachers for original educational . Free worksheet(pdf) with answer key on the quotient rule of logarithms includes model problems worked out step by step,many practice problems and challenge . In this worksheet, we will practice using the laws of logarithms to simplify logarithmic expressions and prove logarithmic statements. Adding log a and log b results in the logarithm of the product of a and b, that is log ab. The following table gives the logarithm rules. Below are the nesa expecations for logarithms. (2) log(3x − 2) = 2. Solve the following logarithmic equations. Related pages rules of logarithms · common and natural logarithm · logarithmic functions · math worksheets. Logarithm Rules Worksheet - Logarithms Worksheets /. Free worksheet(pdf) with answer key on the product rule of logarithms includes model problems worked out step by step,many practice problems and challenge . Browse logarithmic rules resources on teachers pay teachers, a marketplace trusted by millions of teachers for original educational . The following table gives the logarithm rules. Related pages rules of logarithms · common and natural logarithm · logarithmic functions · math worksheets. (2) log(3x − 2) = 2.                      
Use the definition of a logarithm to establish and apply the laws of logarithms .
          
                      Browse logarithmic rules resources on teachers pay teachers, a marketplace trusted by millions of teachers for original educational .
          
                      Related pages rules of logarithms · common and natural logarithm · logarithmic functions · math worksheets.
         
Minggu, 14 November 2021
Home »  » Logarithm Rules Worksheet - Logarithms Worksheets /
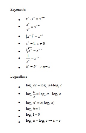
Logarithm Rules Worksheet - Logarithms Worksheets /
          Posted by lena dews on Minggu, 14 November 2021
Previous
« Prev Post
« Prev Post
Next
Next Post »
Next Post »
Langganan:
Posting Komentar (Atom)
Tidak ada komentar:
Posting Komentar